10 years of research has shown that a 10% solution of Prof & Doc ® watercress extract proves highly effective in helping to prevent skin irritation and promoting soothing effects for all skin types. This discovery has led to the formulation of our watercress-based skincare range.
Our cream and mist and barrier cream, each contain a 10% concentration of Prof & Doc ® watercress extract and our serum, a phenomenal 93% concentration of watercress extract. Our range is specifically formulated to provide protection and benefit your skin. We are adopting a program of plant science research to further improve our formulations. Our final products are very much rooted in, and backed by, rigorous scientific endeavour to maximise population benefit.

Claims
Prof & Doc will never make a claim about a product that cannot be scientifically substantiated. We will aim to publish full data sets in peer-reviewed journals.
We have run our extract through clinical product and other scientific testing and the below information are key excerpts from these data sets.
Clinical Product Testing
Dermatologically tested
Watercress extract has been dermatologically tested by Advance Development and Safety Laboratories.
Dermatologically approved
Watercress extract has been dermatologically approved by Advance Development and Safety Laboratories.
Clinically Tested
Our extract has been clinically tested by Advance Development and Safety Laboratories.
Safe for skin
Our product is safe for the skin as per our patch testing performed by Advance Development and Safety Laboratories.
Suitable for sensitive skin
Our extract is suitable for sensitive skin as per our patch testing performed by Advance Development and Safety Laboratories.
Suitable for all skin types
Watercress extract is suitable for all skin types as tested by Advance Development and Safety Laboratories.
Our Research
Collapsible content
Research and Data
Professor Paul & Doctor Kyle have spent over ten years researching the potential benefits of watercress and how particular extracts can be tailored and made.
One of their key focuses (and still a focus today) is on isothiocyanates (ITCs for short). These molecules are found at particularly high levels in Brassica plants (which include watercress, wasabi, mustard seed and others). When we eat Brassicas, we can taste the ITCs as they give the characteristic peppery taste. ITCs are created through mechanical disruption of the plant cells ie through chewing, whereby precursor compounds called glucosinolates get mixed with an enzyme called myrosinase and this aids the generation of ITCs. It’s likely that ITC production benefits the plant by acting as a deterrent as some animals don’t like the pepperiness, and it also has a role in protecting the plant post-trauma.
Interestingly, each Brassica plant has a predisposition for a certain type of ITC, as the precursor glucosinolates can be different (in terms of their chemical structures). For example, in Watercress, one important glucosinolate is gluconasturtium (conveniently named, as Watercress in Latin is Nasturtium Officinale). Myrosinase facilitates the conversion of gluconasturtium to the isothiocyanate, PEITC (phenethylisothiocyanate). PEITC and several other ITCs are being actively researched worldwide for their wide-ranging benefits -̶ google it!
Some bacteria that naturally inhabit the skin produce an enzyme called urease, which converts urea to ammonia. Ammonia is irritating to skin, and this is especially seen in babies wearing nappies and adults using incontinence products. Paul and Kyle are interested in Watercress’ natural abundance of urease inhibitors, including certain ITCs, which can block ammonia generation. Given that the preserved urea on the skin is hygroscopic, meaning it holds on to water, it can contribute to softer, more hydrated skin. Additionally, we have discovered that the ITCs mentioned above are able to “scavenge” ammonia, reacting with it to produce non-toxic compounds. Another benefit of the ITCs!
Professor Paul & Dr Kyle have spent a long time trying to understand the speed of the reaction of ITC production in Watercress and how to incorporate this into the Prof & Doc extract production process. This was successfully achieved in September 2023 with the commissioning of our brand-new,
bespoke, production facility. Now, every drop of Prof & Doc extract has
been through a maturation phase to maximise the ITC content, to benefit your skin.
In 2021, when Professor Paul & Dr Kyle made one of their first ITC-containing extracts at the Biorenewables Development Centre in York, they undertook a trial with ADS Laboratories Ltd to explore the effects on skin irritation in 30 human volunteers.* Skin irritation was assessed by a qualified assessor according to the European Society of Contact Dermatitis guidelines for diagnostic patch testing, published in July 2015. The irritation evaluation scale assesses skin redness, swelling, dryness/desquamation, and the appearance of any vesicles that may be present.
Results
In the graphs below, each round dot represents the average irritation score caused by the positive control experiment (5% SLS) across the 30 individuals. The squares represent our results from investigative application on the skin. Time points are at 24 hours, 48 hours, 72 hours, and 96 hours.
Claim 1: Helps prevent skin irritation
Effect of Watercress extract (10%) on human skin irritation, when a known irritant (SLS) was applied in conjunction with watercress extract.
Figure 1

Figure 1 shows that when our
extract diluted to 10% was co-applied with the 5% SLS irritant there was a reduction in irritation score. This is the key reason Prof & Doc’s Watercress Cream and Spray contain 10% extract, rather than a lower amount. This effect helps to protect skin and prevent irritation.
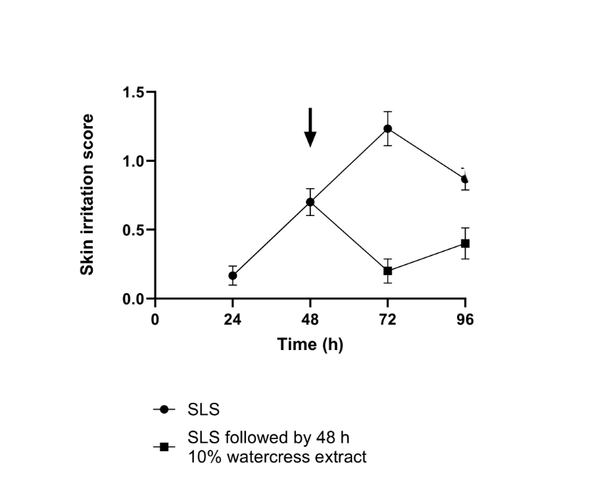
Claim 2: Soothing
Effect of Watercress extract (10%) on SLS-induced skin irritation, when the Watercress extract was applied at the 48-hour time-point.
FIGURE 2

Figure 2 shows the effect when our extract was applied at the 48-hour mark, highlighted by the arrow, when irritation had already become established. Following application, there was a reduction in skin irritation.
As this is a patch test and users only had one application per day, we hope that with repeated use throughout the day, it will be possible to see an even greater soothing effect on the skin.
*The full details of this trial, and the results, have been reported in a scientific study which was part of a patent application by Professor Paul & Dr Kyle: Watercress extraction method. World Intellectual Property Organization (PCT) Patent Application No. WO 2022/129618 A1. International publication date 23 June 2022.